Guide du Chrono

Attestation d’activité

Vous recherchez un article ?
Bonjour, je suis le moteur intelligent de recherche des articles de Guide du Chrono ! 😊 Comment puis-je vous aider ?

Abonnez-vous au Guide du Chrono pour accéder à l’intégralité des articles.

Déplacement durant une pause sur réquisition
RetourRetour

Attestation d’activité

Le conducteur doit justifier de son activité du jour et, depuis le 1er janvier 2025, de celles des 56 jours calendaires précédents.

Enregistrer sur la carte

Un jour vierge de travail et de conduite doit être justifié par des enregistrements. C’est pourquoi, lors de l’introduction de la carte après une période non travaillée (congé, absence ou maladie), il faut valider, par une saisie manuelle, en repos le temps écoulé depuis le dernier retrait.
Selon la décision CE 2009/959/UE, l’attestation d’activité dite de « non-conduite » ne se justifie pas en général et pour les congés en particulier.

Recours exceptionnel

Le recours à l’attestation d’activité doit être exceptionnel.

Cependant, lorsque la journée de repos n’a pu être enregistrée sur la carte pour des raisons techniques, il faut, dans ce cas, utiliser l’attestation sur le formulaire européen. L‘attestation peut aussi se justifier lorsque la saisie manuelle est trop fastidieuse (Chrono et conduite occasionnelle).

Par contre, l’attestation d’activité ne peut être utilisée pour une période de conduite non assujettie à la RSE. Pour elle, il convient d’effectuer une saisie manuelle (voir Alternance véhicule léger – Véhicule lourd). Dès lors, l’attestation d’activité ne se justifie que pour les périodes de travail sans conduite.

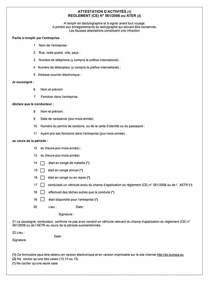
Pour être valable, l’imprimé doit être téléchargé et complété par ordinateur sans modification. Pour être valide, il doit être signé par l’employeur et le conducteur.

Décision CE 2009/959/UE
Art. 36 Règlt UE 165/2014
Arrêt Cour de Justice de l’UE du 7 mai 2020
Art. 1-15 et Art. 2-12  UE 2020/1054

Attestation d’activité
Modèle EU d’attestation d’activité

Précisions Contrôle terrestre français : La réglementation en vigueur prévoit que tout conducteur, en cas de contrôle, doit être en mesure de justifier de son activité sur une période de 56 jours plus le jour du contrôle. Pour cela, selon le cas de figure, il doit présenter sa carte et/ou ses feuilles d’enregistrement. (..)
Pour les journées non travaillées (ou non soumises à l’appareil de contrôle), en matière réglementaire la production d’une attestation de non-conduite n’est pas obligatoire et le fait de ne pas en présenter ne peut être  pas considéré comme une infraction.
Cependant, dans un esprit de clarté et de gain de temps en cas de contrôle, il peut être opportun qu’un conducteur puisse être à même de fournir des éléments d’explications justifiant le fait qu’il n’a pas conduit ou travaillé sur une période donnée. Dans cette optique, la présentation d’une attestation de non-conduite conforme peut être préconisée.